
Forecasting
Converting Temperature Deltas
Not long ago, I attended a conference where the discussion turned to studies that described various rates of temperature increases due to climate disruption. In one case, the study described a 0.7 degree (Fahrenheit) increase per decade. The question arose: what would that be in Celsius? I did not have a response at that moment, but I do now.
First, this discussion is not about the accuracy of the temperature increase estimates, nor is it about whether climate disruption is happening or if human activity is causing it. Those are interesting questions, but I won’t be addressing them here.
The following is the well-known formula for converting Fahrenheit (F) to Celsius (C):
1.
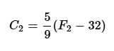
Let’s now consider the formula for a specific temperature value, which we will define as F1 and C1:
2.
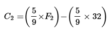
We can construct an analogous formula for a different temperature value, F2 and C2:
3.
We will first rearrange the terms of equations (2) and (3), multiplying through by 5/9:
4.
5.
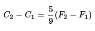
Next, we can subtract equation (4) from the equation (5), leaving the following:
6.
The main point is the constant portion of the equation (i.e., (5/9) x 32) falls out.
Returning to our original question, we can substitute 0.7 into equation (6). In this context, we don’t know the values of F1 and F2. In fact, we don’t actually care what they are.
7.
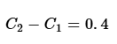
Equation (7) simplifies to the following, with rounding:
8.
In this case, we are not interested in the point estimates of C1 or C2. Rather, we are only interested in the difference between the two points, which is 0.4 degrees Celsius.
The conclusion is that converting a temperature difference from Fahrenheit to Celsius simply requires multiplying the Fahrenheit delta by 5/9. Of course, converting a temperature difference from Celsius to Fahrenheit requires multiplying the Celsius delta by the inverse: 9/5. If this question ever arises for you at a conference, a job interview, or a cocktail hour, you too will now be able to respond authoritatively.





